Is There Scientific
Evidence for the Existence of God?
How the Recent Discoveries Support a Designed Universe
Dr. Walter L. Bradley
Our universe is such a
remarkable place of habitation for complex, conscious life that it is
essentially impossible to believe it is the result of a series of cosmic
accidents. The elegant mathematic forms
encoded in nature, the nineteen universal constants that are exactly what they
must be, and the multitude of initial conditions argue persuasively for a universe
that has been carefully crafted for our benefit.
Walter
Bradley, Ph.D. (Materials Science and Engineering, University of Texas at
Austin), was department chair and is now Professor Emeritus of Mechanical
Engineering at Texas A&M University.
He directed the university's Polymer Technology Center. He is the author of over 125 publications in
materials science and engineering and coauthor, with Charles Thaxton and Roger
Olsen, of The Mystery of Life’s Origin: Reassessing Current Theories
(1984), a seminal work on the origin of life.
He is a Fellow of the American Society for Materials and the American
Scientific Affiliation.
Introduction – What is implied by the
concept of “an intelligently designed universe”?
What
does it mean on a grand scale to assert that the universe is the product of an
intelligent designer? In a scientific
age that exalts rationalism and chance, what empirical evidence could possibly
support such a claim? As humans
contemplating the immense complexity of the cosmos, might certain features of
the universe suggest that our “home” has in fact been carefully crafted for our
benefit? Can our own human experiences
of creativity and design illuminate the concept of a cosmic designer? These questions underlie the discussion of
intelligent design theory, a resurgent area of inquiry by both Christian and
secular scientists in search of a reasonable explanation for the marvelous
complexity of the universe.
In
his classic, Natural Theology (1802),1
eighteenth-century English philosopher and theologian William Paley marshaled
evidence for a designed universe from both the physical and biological
sciences. However, his argument for
design was called into question by Darwin’s theory of evolution. But new
discoveries in the latter half of the twentieth century in the fields of
astronomy, cosmology, and abiogenesis (the origin of life) have provided
extremely compelling evidence for a designed universe. These findings have been publicized in the
popular print media (Time, December 1992 and Newsweek, July 1998), featured in television
specials on PBS and BBC, and disseminated through a wide variety of popular and
scholarly books, including entries from prestigious academic publishing houses
such as Oxford and Cambridge University Presses.
My
personal experience as a lecturer supports the growing openness to intelligent
design theory in the academic world.
Having given over 135 talks on this subject to more than 65,000 students
and professors at over 65 major university campuses from 1986 to 2002, I have
observed a dramatic change in audience receptivity to the idea that an
intelligent designer of the universe may exist. I have noted a widespread acceptance (albeit begrudging in some
quarters) that this growing body of scientific evidence demands an
intellectually honest reckoning, as no exclusively naturalistic explanation
seems capable of rising to the occasion.
Before
we examine the evidence from cosmology, physics, and chemistry that suggests
the universe has been designed as an ideal habitat for life in general and for
humans in particular, let me first clarify what is meant by the term
"design."
How Can We Identify Designed Objects in
the Natural World?
Richard
Dawkins, a British zoologist and one of the world's foremost apologists for
classical Darwinism, addressed the question of design in his 1996 essay
collection, Climbing Mount Improbable,2
by contrasting particular,
designed artifacts with similar accidents in nature. Dawkins illustrates the concept of design with the example of
Mount Rushmore, upon which are carved the clearly recognizable images of
Presidents Washington, Jefferson, Lincoln and Theodore Roosevelt (Figure
1). By contrast, a naturally occurring
rock in Hawaii casts a shadow that resembles President John F. Kennedy (Figure
2), illustrating an accidental occurrence in nature. It is self-evident that a
sculptor (in this case, Gutzon Borglum) carved Mount Rushmore. The sheer number of details in which the
Mount Rushmore faces resemble the faces of the four presidents testifies to the
presence of an intelligent cause, a human sculptor. No one could seriously
attribute these magnificent faces to the creative forces of wind, rain, sleet,
and hail.

Figure 1.
(left) An intelligent design: Mount Rushmore with presidents Washington,
Jefferson, Roosevelt, and Lincoln.
Figure 2. (right) An accident of nature: President
John F. Kennedy’s profile formed by shadow cast by a large rock in
Hawaii.2
Dawkins
defines designoids as artifacts of the natural world that appear to be
designed but "have in fact been shaped by a magnificently non-random
process which creates an almost perfect illusion of design.” 2 A designoid is an artifact in nature
that looks like Mount Rushmore but can in fact be explained by natural
processes (with, say, natural selection being the non-random process in the
case of living systems).
The
first step in evaluating the possibility of intelligent design is to examine
closely the characteristics (or artifacts) of the natural world in order to
assess whether all external “appearances” of design are merely “designoids,” or
whether they are, in fact, true examples of design by an intelligent
Creator. Let us begin by considering
the essential elements of intelligent design by human beings.
How Does An Engineer Design Consumer
Products?
Design
engineers using their understanding of natural laws, as described by
mathematics, and their capacity to prescribe the conditions under which these
natural laws function locally to produce a purposeful outcome. Let me
illustrate. Suppose I wanted to throw a
water balloon from the leaning Tower of Pisa in Italy to hit a friend walking
on the plaza below. Solving the
differential equation that Newton discovered for motion in a gravitational
field, I would obtain a solution in the form of a simple, algebraic equation
that describes the descent of the water balloon to its target below.
H(t) = h0 – (Gm /r2) t2 /2 – u0t (1)
Here
“H(t)” represents the height of the balloon as a function of time (“t”); “G” is
a universal constant signifying the strength of the gravitational force of
attraction; “m” and “r” are the mass of the Earth and the radius of the Earth, respectively;
and “h0” and “u0” are the height of the tower from which I shall throw the balloon, and
the vertical velocity with which I shall throw the
balloon, respectively. By entering the
numerical values for “G,” “m,” and “r,” I obtain Gm/r2 = 32.2 ft/s2
, usually designated "g."
Now Equation 1 can be simplified to:
H(t) = ho
- g t2 / 2 - uo t = ho -
32.2 t2 / 2 - uo t (2)
I
can now solve Equation 2 for the time "t" it will take for the water
balloon to reach the ground [H(t) = 0] if I specify the height of the tower [ho]
and the initial velocity [uo] with which the water balloon is thrown. This equation may
be used to guarantee that my balloon arrives at the plaza at just the right
time to hit my strolling friend. Simply
dropping the balloon will also accomplish my goal. I specify u0 = 0 and H(t) = 0 and solve for the
correct time to drop the balloon.
Human Design Consists in Setting the
Boundary Conditions
These
three essential factors to predict the motion of my water balloon are the same
ones generally necessary to achieve design outcomes in engineering. They are:
·
the
mathematical form that nature takes (see Equations 1 and 2);
·
the values
of the universal constants (G in Equation 1) and local constants (the
radius of Earth, r, and the mass of the Earth, m, in Equation 1); and
·
the
boundary conditions (the height [h0] and initial velocity [u0] in this example.
Note
that the engineer has no
control over the laws of nature
and the mathematical forms they assume. Neither does the engineer have any control
over the values of the universal
constants, such as the gravity force constant. The engineer can only set the boundary conditions; for
example, when drawing up blueprints to specify exactly how a device will look
and operate when it has been manufactured.
If
we revisit the design process, this time using the more realistic—though
complex—example of automobile design, the engineer must carefully prescribe the
boundary conditions such that the chemical energy released by the internal
combustion of gasoline is converted into mechanical energy in the form of
torque to the car wheels. Furthermore, the
dimensions for each engine part are of critical importance. The absolute size and shape of each part is
determined by the car's desired weight, speed, passenger and luggage capacity,
and other performance specifications.
These factors determine the size of the engine cylinders and pistons and
the rate of gasoline injected into the engine cylinders, the scale of the brake
and suspension systems, the size and type of tires, and so forth. And whatever their absolute characteristics,
the parts chosen must also be scaled in relationship to one another so that
they can work together harmoniously.
Notice
that many of the specifications are related to each other and therefore cannot
be independently specified or assigned.
The greater this interdependence of specified boundary conditions, the
more complex and demanding is the design process. Small errors in the specification of any such requirement will
produce either a car with very poor performance or, worse, a car that does not
function at all.
In
summary, we can see that human design consists in specification of conditions
under which the laws of nature operate to produce a purposeful outcome. In the next section, we will see that cosmic
design involves specification of not only the conditions under which the laws
of nature operate, but the laws themselves and the universe constants that
scale the “building blocks” (e.g., rest masses of elemental particles), “energy
blocks” (e.g., quanta of energy), and the fundamental forces in nature to
provide the purposeful outcome of a habitable universe for life, and life
itself!
Needs Statement for a Habitable Place in
a Suitable Universe for Complex, Conscious Life
We
teach mechanical engineering students to begin the design process by specifying
as clearly as possible the "needs statement" for their project. Then, the assignment for the semester is to
develop a design solution that accomplishes the "need(s)" specified
for the project. In similar fashion,
the minimal needs to be satisfied for a universe to be capable of supporting
life of any imaginable type, not just life as we know it, must be
identified. Like our automobile
illustration, many of the specifications will necessarily be interrelated to
make a functional universe. From this
essential “needs statement” we can then see how these needs (or design
requirements) are met in our universe. We are essentially doing reverse
engineering, constructing the blueprint backwards from the product (like an
illicit manufacturing company copying a competitor’s product). Only then will we be ready to entertain
Dawkins’ question, “Are there many ways in which these requirements could be
satisfied within nature?”2 Or are the conditions so unique and
interrelated that their collective satisfaction by accident would be a
"miracle" in its own right?
Let us then begin by drafting a “needs statement” for a habitable
universe. Then we shall see how these
requirements are satisfied in our universe.
Needs Statement for a Suitable Universe for
Conscious, Complex Life
An abbreviated list
of requirements for a universe suitable to support life of any imaginable type
must include the following items:
·
Order to provide the stable environment that
is conducive to the development
of
life, but with just enough chaotic behavior to provide a driving force
for
change.
·
Sufficient
chemical stability and elemental diversity to build the complex
molecules
necessary for essential life functions: processing energy,
storing information,
and replicating. A universe of just
hydrogen and helium
will not “work.”
·
Predictability
in chemical reactions,
allowing compounds to form from the
various elements.
·
A
"universal connector,” an element
that is essential for the molecules of life.
It
must have the chemical property that permits it to react readily with almost
all other
elements, forming bonds that are stable, but not too stable, so
disassembly is
also possible. Carbon is the only
element in our periodic
chart that satisfies this requirement.
·
A
"universal solvent"
in which the chemistry of life can unfold.
Since
chemical
reactions are too slow in the solid state, and complex life would not
likely be
sustained as a gas, there is a need for a liquid element or compound
that readily
dissolves both the reactants and the reaction products essential to
living systems:
namely, a liquid with the properties of water.
·
A stable
source of energy to sustain living systems in which there must be
photons from the sun with sufficient energy to drive organic,
chemical
reactions, but not so energetic as to destroy organic molecules (as in
the
case of highly energetic ultraviolet radiation).
·
A means
of transporting the energy
from the source (like our sun) to the place
where chemical reactions occur in the solvent (like water on Earth) must
be
available. In the process, there
must be minimal losses in transmission if the
energy is to be utilized efficiently.
Unless
ALL of these conditions and many
more not included in this list are met, we would have a universe that would
preclude the possibility of conscious, complex life forms. However, it is possible to meet all of these
conditions for the universe and still not necessarily find a suitable habitat
in the universe for complex, conscious life.
Therefore, we might say that the above requirements for our universe are
necessary, but not by themselves sufficient, conditions for a habitat
suitable for complex human life. Next
we try to identify the additional conditions within such a suitable universe
that would provide a place of habitation for conscious, complex life.
Needs Statement for a Habitat Place in the Suitable
Universe for Complex, Conscious Life
An
abbreviated, but illustrative, list of additional requirements must be
specified for a place of habitation in this universe. First, we need a star
that is located in a relatively “quiet” region of the universe (e.g., not too
many neighbors that are producing high intensity, sterilizing radiation). This star needs to have its highest
intensity of radiation in the range that is suitable to drive the chemical
reactions essential to life without destroying the products of these
reactions. Furthermore, this star needs
to have a very special satellite within its solar system. A partial list of the requirements this
satellite must meet include:
·
a planet or
moon that is terrestrial—or,
solid rather than gaseous;
·
a temperature range
suitable to maintain the universal solvent as a liquid rather than a solid or
gas;
·
just the right concentration of heavy
(radioactive) elements to heat the core of the planet and provide the necessary
energy to drive plate tectonics, to build up land mass in what would otherwise
be a smooth, round planet completely covered with solvent;
·
just the
right amount of solvent (carefully coupled to the plate tectonics activity) to
provide a planet with similar proportions of its surfaces as oceans and land
mass;
·
just the right protection from the
destructive forces in nature such as radiation and asteroids over a reasonable
amount of time; and
·
just the right stabilized axis tilt and angular velocity to give
moderate, regular, and predictable seasons and moderate temperature
fluctuations from day to night.
While one is temped
to think that these requirements are easily met, given the large number of
stars, it should be noted that there are few places in the universe
sufficiently free of sterilizing radiation to provide a suitable solar system.
The number of candidate “neighborhoods” is further reduced by the requirements
of a sun with the right amount of mass to give the right electromagnetic
radiation spectrum and retain the right atmosphere. Furthermore, the occurrence
of a suitable satellite in conjunction with such a star is even more
problematic. Only the earth in our
solar system of sixty-two satellites meets the above requirements for a “home” (earth) in an safe “neighborhood”
like our sun and solar system, which are well placed in a quiet place in a
suitable universe as described above.
In
the next sections, we will see how these universal and local "needs"
(or design requirements) are met by: the specific mathematical form encoded in
nature, the exact values of the universal constants in our universe, and the
remarkable “coincidence” that initial (or boundary) conditions are exactly what
they must be. We will also see that the "evolutional" or developmental
path that our universe navigated is consistently remarkable, making the origin
of our "Garden of Eden" all the more wondrous and enigmatic.
Blueprint for a Habitable Universe - Mathematics and
the Deep Structure of the Universe
Mathematics—in
contrast to mere calculation—is an abstract intellectual activity that began in
Greece in the sixth century BC.
Pythagoras was a key figure, as were his successors, Euclid and
Archimedes. Their studies focused especially on geometric objects such as straight
lines, circles, ellipses, and conic sections (i.e., the curves made by cutting
a cone with a plane).
In
the third century BC, Appolonius of Perga wrote eight monumental volumes
devoted to these curves, describing their properties as “miraculous.” Yet the geometric and mathematical
formulations to which they devoted themselves were actually descriptions
encoded into the very fabric of nature.
Imagine the delight of Johannes Kepler (1571–1630) some eighteen centuries
later, when he discovered that the orbits of planets around the sun conformed
to these same beautiful but abstract mathematical forms. Kepler declared: “The chief aim of all
investigations of the external world should be to discover the rational order
and harmony which has been imposed on it by God and which He revealed to us in
the language of mathematics.”3
Galileo
Galilei (1564–1642) asserted that “the laws of nature are written by the hand
of God in the language of mathematics.”4 In his Mathematics: The
Loss of Certainty,5
historian Morris Kline demonstrates that the religious mathematicians of
the sixteenth and seventeenth
centuries—including Newton, Galileo, Kepler, and Copernicus—viewed the universe
as orderly and capable of mathematical description precisely because a rational
God had fashioned it thus. These
scientist-mathematicians believed that, since God had designed the universe,
then "all phenomena of nature would follow one master plan. One mind
designing a universe would almost surely have employed one set of basic
principles to govern all related phenomena.”5
Only
in the 20th century have we come to fully understand that the
incredibly diverse phenomena that we observe in nature are the outworking of a
very small number of physical laws, each of which may be described by a simple
mathematical relationship. Indeed, so simple in mathematical form and small in
number are these physical laws that they can all be written on one side of one
sheet of paper, as seen in Table 1.
Physicists
and Nobel laureate Eugene Wigner in his widely quoted paper, The
Unreasonable Effectiveness of Mathematics in the Physical Sciences notes
that scientists often take for granted the remarkable—even
miraculous—effectiveness of mathematics in describing the real world. Wigner
muses:
The enormous usefulness of mathematics is
something bordering on the mysterious . . . .
There is no rational explanation for it .
. . . The miracle of the appropriateness of the
language of mathematics for the formulation
of the laws of physics is a wonderful gift
which we neither understand nor deserve.6
Albert
Einstein was struck by the wondrous orderliness of the world.
You find it strange that I consider the
comprehensibility of the world (to the extent that we are authorized to speak
of such a comprehensibility) as a miracle or as an eternal mystery. Well, a priori one should expect a chaotic
world, which cannot be grasped by the mind in any way . . . . [T]he kind of
order created by Newton’s theory of gravitation, for example, is wholly
different. Even if man proposes the axioms of the theory, the success of such a
project presupposes a high degree of ordering of the objective world, and this
could not be expected a priori. That
is the “miracle” which is being constantly reinforced as our knowledge expands.7
Table
1. The Fundamental Laws of Nature.
· Mechanics (Hamilton’s Equations)
![]()
· Electrodynamics (Maxwell’s Equations)
![]()
![]()
· Statistical Mechanics (Boltzmann’s Equations)
![]()
![]()
· Quantum Mechanics (Schrödinger’s Equations)
![]()
![]()
· General Relativity (Einstein’s Equation)
![]()
Yet
even the splendid orderliness of the cosmos, expressible in the mathematical
forms seen in Table 1 is only a small first step in creating a universe with a
suitable place for habitation by complex, conscious life. The particulars of the mathematical forms
themselves are also critical. Consider
the problem of stability at the atomic and cosmic levels. Both Hamilton’s
equations for non-relativistic, Newtonian mechanics and Einstein’s theory of
general relativity (see Table 1) are unstable for a sun with planets unless the
gravitational potential energy is proportional to r–1, a requirement
that is only met for a universe with three spatial dimensions. For Schrödinger's equations for quantum
mechanics to give stable, bound energy levels for atomic hydrogen (and by
implication, for all atoms), the universe must have no more than three spatial
dimensions. Maxwell's equations for electromagnetic energy transmission also
require that the universe be no more than three-dimensional.
Richard
Courant illustrates this felicitous meeting of natural laws with the example of
sound and light: “[O]ur actual physical world, in which acoustic or
electromagnetic signals are the basis of communication, seems to be singled out
among the mathematically conceivable models by intrinsic simplicity and
harmony.”8
To summarize, for life to exist, we need an orderly (and by implication,
intelligible) universe. Order
at many different levels is required. For instance, to have planets that circle their
stars, we need Newtonian mechanics operating in a three-dimensional
universe. For there to be multiple
stable elements of the periodic table to provide a sufficient variety of atomic
“building blocks” for life, we need atomic structure to be constrained by the
laws of quantum mechanics. We further need the orderliness in chemical
reactions that is the consequence of Boltzmann's equation for the second law of
thermodynamics. And for an energy
source like the sun to transfer its life-giving energy to a habitat like Earth,
we require the laws of electromagnetic radiation that Maxwell described.
Our
universe is indeed orderly, and in precisely the way necessary for it to serve
as a suitable habitat for life. The
wonderful internal ordering of the cosmos is matched only by its extraordinary
economy. Each one of the fundamental laws of nature is essential to life
itself. A universe lacking any of the
laws shown in Table 1 would almost certainly be a universe without life. Many
modern scientists, like the mathematicians centuries before them, have been
awestruck by the evidence for intelligent design implicit in nature's
mathematical harmony and the internal consistency of the laws of nature.
Australian astrophysicist Paul Davies declares:
All the evidence so far indicates that
many complex structures depend most delicately on the existing form of these
laws. It is tempting to believe,
therefore, that a complex universe will emerge only if the laws of physics are
very close to what they are….The laws, which enable the universe to come into
being spontaneously, seem themselves to be the product of exceedingly ingenious
design. If physics is the product of
design, the universe must have a purpose, and the evidence of modern physics
suggests strongly to me that the purpose includes us.9
British astronomer Sir Fred Hoyle
likewise comments,
I do not believe that any scientist who
examines the evidence would fail to draw the inference that the laws of nuclear
physics have been deliberately designed with regard to the consequences they
produce inside stars. If this is so,
then my apparently random quirks have become part of a deep-laid scheme. If not then we are back again at a monstrous
sequence of accidents.10
Nobel laureates Eugene Wigner and Albert
Einstein have respectfully evoked "mystery" or "eternal
mystery" in their meditations upon the brilliant mathematical encoding of
nature's deep structures. But as
Kepler, Newton, Galileo, Copernicus, Davies, and Hoyle and many others have
noted, the mysterious coherency of the mathematical forms underlying the cosmos
is solved if we recognize these forms to be the creative intentionality of an
intelligent creator who has purposefully designed our cosmos as an ideal
habitat for us.
Blueprint for a Habitable Universe:
Universal Constants - Cosmic Coincidences?
Next, let us turn to the deepest level of cosmic harmony and coherence – that of the elemental forces and universal constants which govern all of nature. Much of the essential design of our universe is embodied in the scaling of the various forces, such as gravity and electromagnetism, and the sizing of the rest mass of the various elemental particles such as electrons, protons, and neutrons.
There are certain universal constants
that are indispensable for our mathematical description of the universe (see
Table 2). These include Planck’s
constant, h; the speed of light, c; the gravity-force constant, G; the rest
masses of the proton, electron, and neutron; the unit charge for the electron
or proton; the weak force, strong nuclear force, and electromagnetic coupling
constants; and Boltzmann’s constant, k.
Table 2. Universal
Constants.
· Speed of light c = 3.0 x 108 m/s
· Planck’s constant h = 6.63 x 10-34 J-s
· Boltzmann’s constant k = 1.38 x 10-23 J / oK
· Unit charge q = 1.6 x 10-19 Coulombs
· Rest mass proton mp = 1.67 x 10-27 kg
· Rest mass of neutron mn = 1.69 x 10-27 kg
· Rest mass of electron me = 9.11 x 10-31 kg
· gravity force constant G = 6.67 x 10-11 N-m2/ kg2
When
cosmological models were first developed in the mid-twentieth century,
cosmologists naively assumed that the selection of a given set of constants was
not critical to the formation of a suitable habitat for life. Through subsequent parametric studies that
varied those constants, scientists now know that relatively small changes in any of the constants produce a dramatically
different universe and one that is not hospitable to life of any
imaginable type.
The
"just so" nature of the universe has fascinated both scientists and
laypersons, giving rise to a flood of titles such as The Anthropic Cosmological Principle,11 Universes,12 The Accidental Universe,13 Superforce,14The Cosmic Blueprint,15 Cosmic Coincidences,16 The Anthropic Principle,17 Universal Constants in Physics,18
The Creation Hypothesis,19
and Mere Creation: Science,
Faith and Intelligent Design.20
Let us examine several examples from a longer list of approximately one
hundred requirements that constrain the selection of the universal constants to
a remarkable degree.
Twentieth-century
physicists have identified four fundamental forces in nature. These may each be expressed as dimensionless
numbers to allow a comparison of their relative strengths. These values vary by
a factor of 1041 (10 with forty additional zeros after it), or by 41
orders of magnitude. Yet modest
changes in the relative strengths of any of these forces and their associated
constants would produce dramatic changes in the universe, rendering it
unsuitable for life of any imaginable type. Several examples to illustrate this fine-tuning of our universe
are presented next.
Balancing Gravity and Electromagnetism
Forces – Fine Tuning Our Star and Its Radiation
The
electromagnetic force is 1038 times stronger than the gravity force.
Gravity draws protons together in stars, causing them to fuse and release their
energy. The electromagnetic force causes protons to repel. Because the gravity force is so weak
compared to the electromagnetic force, the rate at which stars “burn” by fusion
is very slow, allowing for a stable source of stellar energy over a very long
period of time. If this ratio of
strengths were altered to1032 instead of 1038 (i.e., if
gravity were much stronger), stars would be a billion times less massive and
would burn a million times faster.21
Electromagnetic radiation and the light spectrum also depend on the relative strengths of the gravity and electromagnetic forces and their associated constants. Furthermore, the frequency distribution of electromagnetic radiation produced by the sun must be precisely tuned to the energies of the various chemical bonds on Earth. Excessively energetic photons of radiation (i.e., the ultraviolet radiation emitted from a blue giant star) destroy chemical bonds and destabilize organic molecules. Insufficiently energetic photons (e.g., infrared and longer wavelength radiation from a red dwarf star) would result in chemical reactions that are either too sluggish or would not occur at all. All life on Earth depends upon fine-tuned solar radiation, which requires, in turn, a very precise balancing of the electromagnetic and gravitational forces.
As previously noted, the chemical bonding energy relies upon
quantum mechanical calculations that include the electromagnetic force, the
mass of the electron, the speed of light (c), and Planck’s constant (h).
Matching the radiation from the sun to the chemical bonding energy requires
that the magnitude of six constants be selected to satisfy the following
inequality, with the caveat that the two sides of the inequality are of the
same order of magnitude, guaranteeing that the photons are sufficiently
energetic, but not too energetic.22
Substituting the values in Table 2 for h, c, G, me, mp, and e (with units adjusted as required) allows Equation 3 to be evaluated to give:
In
what is either an amazing coincidence or careful design by an intelligent
Creator, these constants have the very precise values relative to each other that
are necessary to give a universe in which radiation from the sun is tuned to
the necessary chemical reactions that are essential for life. This result is
illustrated in Figure 3, where the intensity of radiation from the sun and the
biological utility of radiation are shown as a function of the wavelength of
radiation. The greatest intensity of radiation from the sun occurs at the place
of greatest biological utility.




Figure 3. The visible portion of the
electromagnetic spectrum (~1 micron) is the most intense radiation from the sun
(upper, left); has the greatest biological utility (upper, right); and passes through atmosphere of Earth
(lower, left) and water (lower, right) with almost no absorption. It is uniquely this same wavelength of
radiation that is idea to foster the chemistry of life. This is either a truly amazing series of
coincidences or else the result of careful design.
Happily, our star (the sun) emits radiation
(light) that is finely tuned to drive the chemical reactions necessary for
life. But there is still a critical
potential problem: getting that radiation from the sun to the place where the
chemical reactions occur. Passing through
the near vacuum of space is no problem. However, absorption of light by either
Earth’s atmosphere or by water where the necessary chemical reactions occur
could render life on Earth impossible. It is remarkable that both the Earth’s
atmosphere and water have “optical windows” that allow visible light (just the
radiation necessary for life) to pass through with very little absorption,
whereas shorter wavelength (destructive ultraviolet radiation) and longer
wavelength (infrared) radiation are both highly absorbed, as seen in Figure 3.23
This allows solar energy in the form of light to reach the reacting chemicals
in the universal solvent, which is water. The Encyclopedia Britannica24 observes in this regard:
Considering the importance of visible sunlight for all
aspects of terrestrial life, one cannot help being awed by the dramatically
narrow window in the atmospheric absorption...and in the absorption spectrum of
water.
It
is remarkable that the optical properties of water and our atmosphere, the
chemical bonding energies of the chemicals of life, and the radiation from the
sun are all precisely harmonized to allow living systems to utilize the energy
from the sun, without which life could not exist. It is quite analogous to your
car, which can only run using gasoline as a fuel. Happily, but not accidentally, the service station has an ample
supply of exactly the right fuel for your automobile. But someone had to drill
and produce the oil, someone had to refine it into liquid fuel (gasoline) that
has been carefully optimized for your internal combustion engine, and others
had to truck it to your service station.
The production and transportation of the right energy from the sun for
the metabolic motors of plants and animals is much more remarkable, and hardly
accidental.
Finally,
without this unique window of light transmission through water, which is
constructed upon an intricate framework of universal constants, vision would be
impossible and sight-communication would cease, since living tissue and eyes
are composed mainly of water.
Nuclear Strong Force and Electromagnetic
Force – Finely Balanced for a Universe Rich in Carbon and Oxygen (and therefore
water)
The
nuclear strong force is the strongest force within nature, occurring at the
subatomic level to bind protons and neutrons within atomic nuclei.25
Were we to increase the ratio of the strong force to the electromagnetic force
by only 3.4 percent, the result would be a universe with no hydrogen, no
long-lived stars that burn hydrogen, and no water (a molecule composed of two
hydrogen atoms and one oxygen atom)—our "universal solvent" for life.
Likewise, a decrease of only 9 percent in the strong force relative to the
electromagnetic force would decimate the periodic table of elements. Such a change would prevent deuterons from
forming from the combination of protons and neutrons. Deuterons, in turn, combine to form helium, then helium fuses to
produce beryllium, and so forth.26
Within the nucleus, an even more precise
balancing of the strong force and the electromagnetic force allows for a
universe with an abundance of organic building blocks, including both carbon
and oxygen.27 Carbon serves as the universal connector for organic
life and is an optimal reactant with almost every other element, forming bonds
that are stable but not too stable, allowing compounds to be formed and
disassembled. Oxygen is a component of
water, the necessary universal solvent where life chemistry can occur. This is why when people speculate about life
on Mars, they first look for signs of organic molecules (ones containing
carbon) and signs that Mars once had water.
Quantum physics examines the most minute
energy exchanges at the deepest levels of the cosmic order. Only certain energy levels are permitted
within nuclei-like steps on a ladder.
If the mass-energy for two colliding particles results in a combined
mass-energy that is equal to or slightly less than a permissible energy level
on the quantum “energy ladder,” then the two nuclei will readily stick together
or fuse on collision, with the energy difference needed to reach the step being
supplied by the kinetic energy of the colliding particles. If this mass-energy level for the combined
particles is exactly right, then the collisions are said to have resonance,
which is to say that there is a high efficiency within the collision. On the other hand, if the combined
mass-energy results in a value that is slightly higher than one of the
permissible energy levels on the energy ladder, then the particles will simply
bounce off each other rather than fusing, or sticking together.
It
is clear that the step sizes between quantum nuclear energy levels depends on
the balance between the strong force and the electromagnetic force, and these
steps must be tuned to the mass-energy levels of various nuclei for resonance
to occur and give an efficient conversion by fusion of lighter element into
carbon, oxygen and heavier elements.
In
1953, Sir Fred Hoyle et al. predicted the existence of the unknown resonance
energy level for carbon, and it was subsequently confirmed through experimentation.28
In 1982, Hoyle offered a very
insightful summary of the significance he attached to his remarkable
predictions.
From 1953 onward, Willy
Fowler and I have always been intrigued by the remarkable relation of the 7.65
MeV energy level in the nucleus of 12 C to the 7.12 MeV level in 16 O. If you wanted to produce carbon and oxygen
in roughly equal quantities by stellar nucleosynthesis, these are the two
levels you would have to fix, and your fixing would have to be just where these
levels are actually found to be.
Another put-up job? Following
the above argument, I am inclined to think so. A
common sense interpretation of the facts suggests that a super intellect has
"monkeyed" with the physics as well as the chemistry and biology, and
there are no blind forces worth speaking about in nature.29
The Rest Mass of Subatomic Particles –
Key to Universe Rich in Elemental Diversity
Scientists have been surprised to
discover the extraordinary tuning of the masses of the elementary particles to
each other and to the forces in nature. Stephen Hawking has noted that the
difference in the rest mass of the neutron and the rest mass of the proton must
be approximately equal to twice the mass of the electron. The mass-energy of the proton is 938.28 MeV
and the mass-energy of the neutron is 939.57 MeV. The mass-energy of the electron is 0.51 MeV, or approximately
half of the difference in neutron and proton mass-energies, just as Hawking
indicated it must be.30 If the mass-energy of the proton plus the
mass-energy of the electron were not slightly smaller than the mass-energy of
the neutron, then electrons would combine with protons to form neutrons, with
all atomic structure collapsing, leaving an inhospitable world composed only of
neutrons.
On
the other hand, if this difference were larger, then neutrons would all decay
into protons and electrons, leaving a world of pure hydrogen, since neutrons
are necessary for protons to combine to build heavier nuclei and the associated
elements. As things stand, the neutron
is just heavy enough to ensure that the Big Bang would yield one neutron to
every seven protons, allowing for an abundant supply of hydrogen for star fuel
and enough neutrons to build up the heavier elements in the universe.31
Again, a meticulous inner design assures a universe with long-term sources of
energy and elemental diversity.
The Nuclear Weak Coupling Force – Tuned
to Give an Ideal Balance Between Hydrogen (as Fuel for Sun) and Heavier
Elements as Building Blocks for Life
The weak force governs certain
interactions at the subatomic or nuclear level. If the weak force coupling constant were slightly larger,
neutrons would decay more rapidly, reducing the production of deuterons, and
thus of helium and elements with heavier nuclei. On the other hand, if the weak force coupling constant were
slightly weaker, the Big Bang would have burned almost all of the hydrogen into
helium, with the ultimate outcome being a universe with little or no hydrogen
and many heavier elements instead. This
would leave no long-lived stars and no hydrogen-containing compounds,
especially water. In 1991, Breuer noted
that the appropriate mix of hydrogen and helium to provide hydrogen-containing
compounds, long-term stars, and heavier elements is approximately 75 percent
hydrogen and 25 percent helium, which is just what we find in our universe.32
This
is obviously only an illustrative—but not exhaustive--list of cosmic
"coincidences." Clearly, the four forces in nature and the universal
constants must be very carefully calibrated or scaled to provide a universe
that satisfies the key requirements for life that we enumerated in our initial
"needs statement": for example, elemental diversity, an abundance of
oxygen and carbon, and a long-term energy source (our sun) that is precisely
matched to the bonding strength of organic molecules, with minimal absorption
by water or Earth’s terrestrial atmosphere.
John
Wheeler, formerly Professor of Physics at Princeton, in discussing these
observations asks:
Is man an unimportant bit of dust on an unimportant planet
in an unimportant galaxy somewhere in the vastness of space? No! The necessity to produce life lies at
the center of the universe’s whole machinery and design.....Slight variations
in physical laws such as gravity or electromagnetism would make life
impossible.33
As we already suggested, correct
mathematical forms and exactly the right values for them are necessary but not
sufficient to guarantee a suitable habitat for complex, conscious life. For all of the mathematical elegance and
inner attunement of the cosmos, life still would not have occurred had not certain
initial conditions been properly set at certain critical points in the
formation of the universe and Earth. Let us briefly consider the initial
conditions for the Big Bang, the design of our terrestrial “Garden of Eden,”
and the staggering informational requirements for the origin and development of
the first living system.
The Big Bang
The "Big Bang" follows the
physics of any explosion, though on an inconceivably large scale. The critical boundary condition for the Big
Bang is its initial velocity. If this velocity is too fast, the matter in the universe expands too quickly and
never coalesces into planets, stars, and galaxies. If the initial velocity is too
slow, the universe expands only for a short time and then quickly
collapses under the influence of gravity. Well-accepted cosmological models34
tell us that the initial velocity must be specified to a precision of 1/1060.
This requirement seems to overwhelm chance and has been the impetus for
creative alternatives, most recently the new inflationary model of the Big
Bang.
Even
this newer model requires a high level of fine-tuning for it to have occurred
at all and to have yielded irregularities that are neither too small nor too
large for the formation of galaxies.
Astrophysicists originally estimated that two components of an
expansion-driving cosmological constant must cancel each other with an accuracy
of better than 1 part in 1050.
In the January 1999 issue of Scientific
American, the required accuracy was sharpened to the phenomenal exactitude
of 1 part in 10123. 35
Furthermore, the ratio of the
gravitational energy to the kinetic energy must be equal to 1.00000 with a
variation of less than 1 part in 100,000.
While such estimates are being actively researched at the moment and may
change over time, all possible models of the Big Bang will contain boundary
conditions of a remarkably specific nature that cannot simply be described away
as “fortuitous”.
The Uniqueness of our “Garden of Eden”
Astronomers F. D. Drake36
and Carl Sagan37 speculated
during the 1960s and 1970s that Earth-like places in the universe were
abundant, at least one thousand but possibly as many as one hundred million.
This optimism in the ubiquity of life downplayed the specialness of planet
Earth. By the 1980s, University of
Virginia astronomers Trefil and Rood offered a more sober assessment in their
book, Are We Alone? The Possibility of
Extraterrestrial Civilizations.38 They concluded that it is improbable that
life exists anywhere else in the universe.
More
recently, Peter Douglas Ward and Donald Brownlee of the University of
Washington have taken the idea of the Earth’s unique place in our vast universe
to a much higher level. In their recent
blockbuster book, Rare Earth: Why Complex
Life is Uncommon in the Universe,39 they argue that the more we learn about Earth, the more we realize
how improbable is its existence as a uniquely habitable place in our
universe. Ward and Brownlee state it
well:
If some god-like being could be given the opportunity to
plan a sequence of events with the expressed goal of duplicating our 'Garden of
Eden', that power would face a formidable task. With the best of intentions but limited by natural laws and
materials it is unlikely that Earth could ever be truly replicated. Too many processes in its formation involve
sheer luck. Earth-like planets could
certainly be made, but each would differ in critical ways. This is well illustrated by the fantastic
variety of planets and satellites (moons) that formed in our solar system. They all started with similar building
materials, but the final products are vastly different from each other . . . .
The physical events that led to the formation and evolution of the physical
Earth required an intricate set of nearly irreproducible circumstances.40
What
are these remarkable coincidences that have precipitated the emerging
recognition of the uniqueness of Earth?
Let us consider just two representative examples, temperature control
and plate tectonics, both of which we have alluded to in our “needs
statement” for a habitat for complex life.
Temperature Control on Planet Earth
In
a universe where water is the primary medium for the chemistry of life, the
temperature must be maintained between 0º C and 100º C (32º F to 212º F) for at
least some portion of the year. If the
temperature on earth were ever to stay below 0o C for an extended
period of time, the conversion of all of Earth's water to ice would be an
irreversible step. Because ice has a
very high reflectivity for sunlight, if the Earth ever becomes an ice ball,
there is no returning to the higher temperatures where water exists and life
can flourish. If the temperature on
Earth were to exceed 100oC for an extended period of time, all
oceans would evaporate, creating a vapor canopy. Again, such a step would be irreversible, since this much water
in the atmosphere would efficiently trap all of the radiant heat from the sun
in a "super-greenhouse effect,” preventing the cooling that would be
necessary to allow the steam to re-condense to water.41 This appears to be what happened on Venus.
Complex,
conscious life requires an even more narrow temperature range of
approximately 5-50º C.42 How does our portion of real estate in the
universe remain within such a narrow temperature range, given that almost every
other place in the universe is either much hotter or much colder than planet
Earth, and well outside the allowable range for life? First, we need to be at the right distance from the sun. In our solar system, there is a very narrow
range that might permit such a temperature range to be sustained, as seen in
Fig. 1. Mercury and Venus are too close
to the sun, and Mars is too far away.
Earth must be within approximately 10% of its actual orbit to maintain a
suitable temperature range.43
Yet
Earth's correct orbital distance from the sun is not the whole story. Our moon has an average temperature of -18º
C, while Earth has an average temperature of 33º C; yet each is approximately
the same average distance from the sun.
Earth's atmosphere, however, efficiently traps the sun's radiant heat,
maintaining the proper planetary temperature range. Humans also require an atmosphere with exactly the right
proportion of tri-atomic molecules, or gases like carbon dioxide and water
vapor. Small temperature variations
from day to night make Earth more readily habitable. By contrast, the moon takes twenty-seven days to effectively
rotate one whole period with respect to the sun, giving much larger temperature
fluctuations from day to night. Earth's rotational rate is ideal to maintain
our temperature within a narrow range.
Most
remarkable of all, the sun's radiation has gradually increased in intensity by
40 percent over time—a fact that should have made it impossible to maintain
Earth's temperature in its required range.
This increase, however, has been accompanied by a gradual decrease in
the Earth's concentration of carbon dioxide.
Today although the Earth receives more radiation, the atmosphere traps
it less efficiently, thus preserving approximately the same temperatures that
the Earth experienced four billion years ago.
The change in the concentration of carbon dioxide over four billion
years has resulted first from plate tectonics (by which carbon dioxide has been
converted to calcium carbonate in shallow waters), and more recently through
the development of plant life. Such
good fortune on such a grand scale must be considered a miracle in its own
right. But there is still more to the
story.
Mercury,
Venus, and Mars all spin on their axes, but their axis angles vary chaotically
from 0 to 90 degrees, giving corresponding chaotic variations in their
planetary climates. Earth owes its
relative climatic stability to its stable 23-degree axis of rotation. This
unique stability is somehow associated with the size of Earth's large
moon. Our moon is one-third the size of
Earth—rare for any planet. To have such a large moon is particularly rare for
planets in the inner regions of the solar system, where a habitable temperature
range can be sustained. The most
current theories explaining this proposition lead us again to the suspicion
that such a remarkable and "fortuitous accident" occurred
specifically for our benefit.44

Plate Tectonics – Continent Builder, Temperature Controller, Cosmic Radiation Protecter
How
does plate tectonics contribute to our planet’s becoming habitable for complex
life? First, plate tectonics have produced a
landmass on an earth that would otherwise have remained a smooth sphere covered
by 4000 feet of water. Second, plate
tectonics on Earth formed regions of shallow water just beyond the
landmass. In these shallows, carbon
dioxide chemically reacts with calcium silicate to form calcium carbonate and
silicon oxide (or sand). This process
removes sufficient carbon dioxide from the atmosphere to avoid overheating as
the sun's radiant energy increases. Third,
plate tectonics allows for sufficiently large thermal gradients to develop the
convective cells in the Earth's core that generate our magnetic field, which in
turn protects us from cosmic radiation.
It
is reasonable to assume that without plate tectonics, no planet could be
habitable.45 Of the 62
satellites in our solar systems, only
Earth has plate tectonic activity—a fact that reflects the difficulty to
meet the conditions required for this transformational process. Plate tectonics requires just the right concentration of heavy,
radioactive elements in a planet or moon's core, in order to produce the proper
amount of heat through radioactive decay.
Furthermore, the core must be molten, with a solid, but viscous crust.
The viscosity of the crust must be carefully calibrated to the heat
generation in the core. The total
volume of surface water present on a planet is also critical (on Earth, it is
0.5 percent by weight).45 Too much water will yield a planet
with only oceans. Too little water or too much plate tectonic activity will
produce a planet with almost all land mass and very small oceans. This
imbalance would leave the Earth with a water cycle that could not aerate the
landmass adequately to sustain life. The oceans also buffer temperature
fluctuations, helping to keep the Earth's surface temperature in a viable
range. Earth's current proportion of 30
percent landmass to 70 percent oceans is biologically ideal. However, this complex end result arises from a
myriad of factors that appear to be independent. Again, an explanatory model based on
"accidents of nature" seems insufficient to account for yet another
remarkable feature of our planet.
Blueprint for Life: Information and The
Origin of Life
We
have not yet touched on the greatest "miracle" in our terrestrial
narrative of origins. While we have
noted the remarkable provision of a suitable universe with a local habitat that
is ideal for life, the most remarkable artifact in our universe is life
itself. While biological evolution,
including macroevolution, continues to have a larger constituency than is
justified by the evidence (in my opinion), all major researchers in the field
of chemical evolution (i.e., the origin of life) acknowledge the fundamental
mystery of life's beginnings from inanimate matter. The enigma of the origin of
life comes in the difficulty of imagining a simply biological system that is
sufficiently complex to process energy, store information, and replicate, and
yet at the same time is sufficiently simple to have just "happened"
in a warm pond, as Darwin suggested, or elsewhere.
Complex
molecules, such as proteins, RNA, and DNA, provide for essential biological
functions. These biopolymers are
actually long chains of simpler molecular building blocks such as amino acids
(of which there are 20 different types—see Figure 5), sugars and bases. Their biological function is intimately
connected to their precise chemical structure.
How, then, were they assembled with such perfect functionality before the origin of life itself? If I
stand across the street and throw paint at my curb, I am not very likely to
paint "204," which is my house number. On the other hand, if I first place a template with the numbers
"204" on my curb and then sling paint, I can easily paint
"204" on my curb. Living
systems contain their own templates. However, such templates did not guide the
process before life began (i.e., under prebiotic conditions). How, then, did the templates and other
molecular machinery originate?
To
illustrate the staggering degree of complexity involved here, let us consider a
typical protein that is composed of 100 amino acids. Amino acids are molecules that can have two mirror image
structures, usually referred to as “left-handed” and “right-handed” variants,
as seen in Figure 6. A functional protein requires the amino acids from which
it is built to be (1) all left-handed; (2) all linked together with peptide
bonds (Figure 7), and (3) all in just the right sequence to fold up into the
three-dimensional structure needed for biological function, as seen in Figure
8. The probability of correctly
assembling a functional protein in one try in a prebiotic pond, as seen in Figure
8, is 1/10190.48 If we took all of the carbon in the universe, converted it into
amino acids, and allowed it to chemically react at the maximum permissible rate
of 1013 interactions per second for five billion years, the
probability of making a single functioning protein increases to only 1/1060. For this reason, chance explanations for the
origin of life have been rejected. Some
non-random process or intelligent designer must be responsible. However, there are no apparent nonrandom
processes (such as natural selection is claimed to be in evolution) that would
seem to be capable of generating the required complexity and information for
the first living system.

Figure 5. Schematic of five amino acids. Twenty different amino acids are utilized in
protein molecules.
Making
a viable protein from scratch is analogous to writing a sentence in a language
with 20 letters in its alphabet (e.g., distinct amino acids), using a random
sequencing of the letters as well as random orientations (that is upside down
or sideways). Creating a coherent
sentence or short paragraph from such a random sequencing of letters strains
the imagination. Creating a functioning living system becomes as arduous as
writing a long paragraph [SW1] with such an inefficient approach. These information-generating requirements
present the single, greatest obstacle to a purely naturalistic explanation for
the origin of life. Researchers in this
field are

Figure
6. Left- and right-handed versions
of amino acids that occur with equal frequency in nature. Only left-handed amino acids are
incorporated in protein molecules.

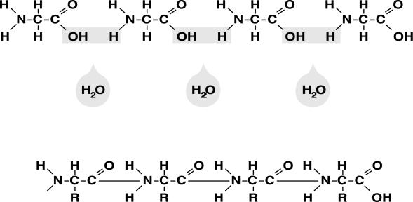
Figure 7. Schematic representation of the formation of peptide bonds with water formed as a byproduct.
quick
to acknowledge this huge problem. For example, Miller and Levine, in their
popular textbook, describes the problem as follows:
The largest stumbling block in bridging the gap between
nonliving and living still remains. All
living cells are controlled by information stored in DNA, which is transcribed
in RNA and them made into protein. This
is a very complicated system, and each of these three molecules requires the
other two—either to put it together or to help it work. DNA, for example,
carries information but cannot put that information to use, or even copy itself
without the help of RNA and protein.47
One of the giants in origin of life
research, Leslie Orgel, in a 1998 review entitled The Origin of Life – a review of facts and speculations48 summarized
the current state of affairs with:
There are several tenable theories about the origin of
organic material on the primitive earth, but in no case is the supporting
evidence compelling. Similarly, several
alternative scenarios might account for the self-organization of a
self-replicating entity from pre-biotic organic material, but all of those that
are well formulated are based on hypothetical chemical syntheses that are
problematic.
Nicholas Wade writing in the New York Times (6/13/2000)49
about the origin of life notes:
The
chemistry of the first life is a nightmare to explain. No one has yet developed a plausible
explanation to show how the earliest chemicals of life – thought to be RNA, or
ribonucleic acid, a close relative of DNA, might have constructed themselves
from the inorganic chemicals likely to have been around on the early
earth. The spontaneous assembly of a
small RNA molecule on the primitive earth “would have been a near miracle” two
experts in the subject helpfully declared last year.

Figure 8. Schematic representation of the three-dimensional topography of a chain
of amino acids. Note shape is critical to biological function.
Interested
readers are directed to my more detailed treatment of this topic in a book I
co-authored entitled The
Mystery of Life’s Origin: Reassessing Current Theories50.
My
initial example of design was very simple.
It involved one physical law, one universal constant, and two initial
conditions. These could easily be
prescribed so that my water balloon would arrive on the plaza below the Leaning
Tower of Pisa just in time to hit my strolling friend. This was a relatively easy design problem.
A universe that contains a special place
of habitation for complex, conscious life is so truly remarkable that it is,
realistically speaking, impossible to believe it is the result of a series of
cosmic accidents. To choose to believe
that there is a naturalistic explanation for (a) the mathematical forms encoded
in the laws of nature, (b) the precise specification of the nineteen universal
constants and (c) the remarkable initial conditions required for star formation
and the simplest living systems is to believe in a miracle by another name.
Physicist
Freeman J. Dyson of Princeton's Institute for Advanced Study seems to
implicitly affirm theism when he say,
“As we look out into the universe and identify the many accidents
of physics and astronomy that have worked to our benefit, it almost seems as if
the universe must in some sense have known that we were coming.”51
Physicist
and Nobel laureate Arno Penzias, contemplating our enigmatic universe,
observes:
Astronomy leads us to a unique event, a
universe that was created out of nothing and delicately balanced to provide
exactly the conditions required to support life. In the absence of an absurdly
improbable accident, the observations of modern science seem to suggest an
underlying, one might say, supernatural plan.52
Astronomer
Sir Fred Hoyle argued in The Nature of
the Universe53 in 1950
for the role of sheer coincidence to explain the many unique but necessary
properties of the universe and of planet Earth. But the discoveries of the next
thirty years dramatically changed his mind, as described in his book The Intelligent Universe in 1983; to
quote,
“Such properties seem to run through the fabric of the
natural world like a thread of happy coincidences. But there are so many odd
coincidences essential to life that some explanation seems required to account
for them.”54
It
is easy to understand why many scientists like Sir Fred Hoyle changed their
minds in the past thirty years. They
now agree that the universe, as we know it, cannot reasonably be explained as a
cosmic accident. Frederic B. Burnham, a
well-known historian of science appearing on ABC's Nightline with Ted Koppel, confirmed the current openness to the
intelligent design model with his comment,
“The scientific
community is prepared to consider the idea that God created the universe a more
respectable hypothesis today than at any time in the last 100 years.”55
Concluding
Comments
Returning
to the Mt. Rushmore illustration with which we began, we must ask ourselves
whether our universe and place in it (planet Earth) are more analogous to Mt.
Rushmore or to the rock in Hawaii that captures John F. Kennedy's silhouette in
its shadow? It seems to me the answer
is perfectly clear based on the myriad of information presented in this paper
and the much larger amount of related information in the literature that the
universe is better represented in its complexity by Mt. Rushmore. However, it is worth noting that Mt.
Rushmore is a quite inadequate analogy to our universe and habitat in it.
If
a few portions of the Mt. Rushmore monument had been made incorrectly, the
impressions of the four presidents would not be completely lost, just less
accurate. But, if any one of the five
fundamental laws of nature is lacking, if any of the universal constants is
outside the permissible range of values, or if any of the many initial
conditions is met, then any potential for life in our universe would be
obliterated.
The
design requirements for our universe are like a chain of 1000 links. If any link breaks, we do not have a
less optimal universe for life -- we have a universe incapable of sustaining
life! The evidence I have
present is daunting, but still short of “proof”. I must conclude that it takes a great deal more faith to believe
in an accidental universe than to believe in an intelligent creator, or God who
crafted such a marvelous universe and beautiful place of habitation in planet
Earth, and then created life (including human beings) to occupy it.
Endnotes
1
William Paley, Natural Theology (London: Wilks and
Taylor, 1802).
2
Richard
Dawkins, Climbing Mount Improbable
(New York: Norton, 1996), 3.
2 Johannes Kepler, Defundamentis Astrologiae Certioribus,
Thesis XX (1601).
4
Galileo Galilei,
this comment is widely attributed to Galileo, but without reference.
5 Morris Kline, Mathematics:
The Loss of Certainty (New York: Oxford University Press, 1980), 52.
6
Eugene Wigner, “The
Unreasonable Effectiveness of Mathematics in the Physical Sciences,” Communications on Pure and Applied
Mathematics, vol. 13 (1960): 1-14.
7
Albert
Einstein, Letters to Solovine (New
York: Philosophical Library, 1987), 131.
8 Richard Courant, Partial Differential Equations, Vol. II
of R. Courant and D. Hilbert, Methods of
Mathematical Physics (New York: Interscience Publishers, 1962), 765–66.
9
Paul Davies, Superforce (New York: Simon and
Schuster, 1984), 243.
10 Fred Hoyle, Religion
and the Scientists, quoted in John Barrow and Frank Tipler, The Anthropic Cosmological Principle
(Oxford: Clarendon Press, 1988), 22.
11 John Barrow and Frank Tipler, The Anthropic Cosmological Principle (Oxford: Clarendon Press,
1988).
12 John Leslie, Universes
(New York: Routledge, 1989).
13 Paul Davies, The
Accidental Universe (Cambridge: Cambridge University Press, 1982).
14 Paul Davies, Superforce
(Portsmouth, N.H.: Heinemann, 1984).
15 Paul Davies, The
Cosmic Blueprint (Portsmouth, N.H.: Heinemann, 1988).
16 John Gribbin and Martin Rees, Cosmic Coincidences (New York: Bantam Books, 1989).
17
Reinhard
Breuer, The Anthropic Principle, trans. Harry Newman and Mark Lowery
(Boston: Birkhäuser, 1991).
18 Gilles
Cohen-Tannoudji, Universal Constants in
Physics, trans. Patricia
Thickstun (New York: McGraw-Hill, 1993).
19 J. P. Moreland,
ed., The Creation Hypothesis (Downers
Grove, Ill.: InterVarsity Press, 1994).
20
William A.
Dembski, Ed. Mere Creation: Science, Faith & Intelligent Design. (Downers Grove, Ill.: InterVarsity Press,
1998).
21
John Leslie, Universes (New York: Routledge,1989), 36-39.
22
John Barrow and
Frank Tipler, The Anthropic Cosmological Principle, 336.
23
Michael J.
Denton, Nature's Destiny: How the Laws of
Biology Reveal Purpose in the Universe (New York: Simon and Schuster,
1998), 56-57.
24 Encyclopedia Britannica (1994), 15th ed., Vol. 18,
200.
25
Barrow and
Tipler, Anthropic Cosmological Principle, 322.
26 I.L. Rozental, On Numerical Values of Fundamental Constants (Moscow: 1980), 9.
27
John Leslie, Universes, 35-40.
28
F. Hoyle,
D.N.F. Dunbar, W.A. Wensel, and W. Whaling, Phys.
Rev. 92 (1953), 649.
29 F. Hoyle, Annual Review of Astronomy and Astrophysics, 20 (1982):
16.
30 Stephen Hawking, Physics Bulletin: Cambridge, 32
(1980), 15.
31 John Barrow and Frank Tepler, The Anthropic Cosmological Principle,
371.
32 Reinhard Breuer, The Anthropic Principle: Man as the Focal Point of Nature (Boston: Birkhauser, 1990), 102.
33
John Wheeler, Reader’s Digest, September 1986, 107.
34
Paul Davies, The Accidental Universe (Cambridge:
Cambridge University Press, 1982), 90.
35 Lawrence M. Krauss, “Cosmological Antigravity,” Scientific American, 280 (January
1999): 53-59.
36
F. D. Drake and
Dava Sobel, Is Anyone Out There? (New York : Delacorte Press, 1992) 62.
37
I. S.
Shklovskii and C. Sagan, Intelligent Life
in the Universe (New York: Dell, 1966).
38 Robert Rood and James S. Trefil, Are We Alone? The Possibility of Extraterrestrial Civilizations (New York: Scribner, 1981).
39 Peter B. Ward and Donald Brownlee, Rare Earth: Why Complex Life is Uncommon in the Universe (New York:
Copernicus, 2000).
40
Ibid, 37.
41
W. Broecker, How to Build a Habitable Planet
(Palisades, NY: Eldigio Press, 1985) , 197-229.
42
Ward and Brownlee, Rare Earth, 19-20.
43
Ibid, p. 15-33.
44
J. Kasting,
"Habitable Zones Around Stars: An Update," in Circumstellar Habitable Zones, ed. L. Doyle (Menlo Park, CA: Travis
House, 1996), 17-28.
45
Ward and
Brownlee, Rare Earth, 208.
46 Ward and Brownlee, Rare Earth, 264-65.
47
Walter L.
Bradley and Charles B. Thaxton, "Information and the Origin of Life",
in The Creation Hypothesis: Scientific
Evidence for an Intelligent Designer, ed. J.P. Moreland (Downers Grove,
Ill: InterVarsity Press, 1994), 190.
48
Kenneth R.
Miller and Joseph Levine, Biology: The
Living Science (Upper Saddle River, New Jersey: Prentice Hall), 1998,
p.406-407.
49 Nocholas Wade,
“Genetic Analysis Yields Intimations of a Primordial Commune” (New York: New
York Times, June 14th, 2000), from website.
50 Charles B. Thaxton, Walter L. Bradley, and Roger L.
Olsen. Mystery of Life's Origin:
Reassessing Current Theories (New York: Philosophical Library, 1984).
51 Freeman J. Dyson,
cited in Barrow and Tipler, Anthropic Cosmological Principle, 318.
52
Arno Penzias, Our Universe:Accident or Design (Wits
2050, S. Africa :Starwatch, 1992), 42.
53 Sir Fred Hoyle, The
Nature of the Universe (New York: Harper, c1950), 101.
54
Fred Hoyle, The Intelligent Universe (London:
Michael Joseph, 1983), 220
55
ABC's Nightline with Ted Koppel, April 24, 1992.
[SW1] Big difference b/w a long paragraph and an encyclopedia! Readers may be skeptical. Better to just say ”an encyclopedia” (if the facts warrant this analogy)..