FAQS

FREQUENTLY ASKED QUESTIONS

Robert Marks.org

HOME | FAQS home

 

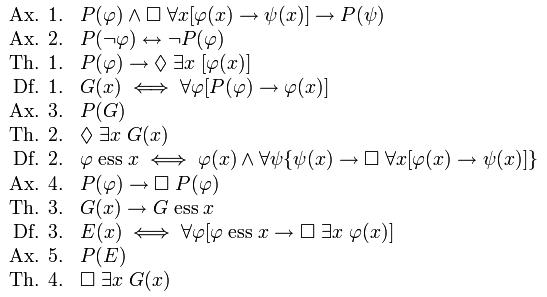
Gödel's proof of the existence of God based on Anselm of Canterbury's ontological argument:

Contact me if you have any questions